金荣中国1月2日白银行情分析:白银震荡回落,关注23支撑
基本面:
周五(12月29日)白银价格从24.2附近下跌到23.52附近,日线收阴线白银行情。
今日数据


技术面:

展开全文
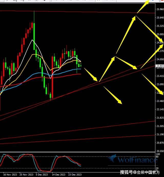
日线上,白银日线收阴线,目前处于短期线附近及下方运行,5日与10日均线粘合,中期线走平,KDJ向下运行,指标看跌白银行情。
去年美联储停止了加息,2024年大概率会多次降息,乌俄和巴以冲突仍在继续,整体基本面有利于多头白银行情。

白银上周在短期线上方附近震荡后进一步回落下跌,目前看已经跌破站稳短期线,触及到了中期线附近支撑,结合月线和周线来看,白银很可能陷入震荡,日线下方重点关注趋势线附近支撑,大概在23关口附近,所以近期有可能逐步回调到这里,重点关注回踩这里支撑后多空争夺的情况,如果能企稳,那么还是很好的做多加多布局多单机会,多单尽量采用短线中做的方式去博弈和加仓,这样能有效控制风险,并将利润最大化白银行情。如果继续跌破下去,那么还真的可能转空了,否则的话,在格局上看还是以回调低多为主,还是看好未来震荡蓄势后进一步拉升新高。
(白银中线布局思路: 23-22.5布局多单白银行情,止损22.3,目标
23.5-24-24.5-25-25.5-26-28-30 白银行情。)
压力:
24-24.2-24.6-25-25.5-26-27-28-30
支撑:23.6-23.5-23-22.5-22
现货白银:
1. 23附近布局多单白银行情,止损22.7,目标
23.5-24-24.5-25-25.5-26-28-30
注:内容仅为个人观点,不代表公司立场,不可保证盈亏,不构成与本公司相关的任何投资建议白银行情。投资有风险,入市需谨慎,请根据自身情况考虑,责任自担。
全球金融市场行情波动不断,贵金属市场投资盈利机会不断涌现,投资者朋友可通过金荣中国贵金属交易平台免费申请账户,并安装功能强大的手机交易软件,随时随地获取最新、最全的市场行情动态,及时把握盈利时机白银行情。









评论